The basic proposition of the vast literature on economic voting is that people reward or punish incumbent politicians based on economic performance. For decades, economic voting has been conceptually defined as people voting for incumbents (reward) as people positively perceive incumbents’ economic performance; or people vote for challengers (punish) as they are unsatisfied with incumbents’ performance (see, for instance, C. J. Anderson, 2007; Fiorina, 1978; Hellwig, 2012; Kramer, 1971; Lewis-Beck, 1997). Although scholars of economic voting have engaged with one another’s research, no one has yet systematically meta-analyzed accumulated knowledge in this area. Whether the effects of economic perceptions across individual-level studies converge or diverge is not known. This paper systematically investigates the extent to which voters’ perceptions of economic conditions have an effect on voting decisions based on the accumulated knowledge in the literature on economic voting. Additionally, it looks at how different measures of economic perceptions predict incumbents’ electoral fate.
Although a large number of studies on economic voting made use of macroeconomic data and actual voting outcomes, the center of gravity in the field has shifted to studies using individual-level survey data. Some argue that individual-level measures of perceived economic performance avoid the risk of ecological fallacy found in macro-level studies.[1] Within individual-level studies, scholars have been divided on how to best gauge economic performance under the incumbent. Following Fiorina’s pioneering work (Fiorina, 1978, 1981), supporters of a pocketbook measure suggest that evaluating personal economic conditions “inside” the household better predicts whether voters want to reward the incumbent with reelection or to punish their administration. On the other hand, starting from Kinder and Kiewet’s (1979; 1981) seminal works, proponents of sociotropic measures contend that gauging perceptions over general economic conditions (e.g., the national economy or surrounding businesses) is superior for investigating performance-based voting decisions. Some suggest that pocketbook and sociotropic perceptions are equally important (see Healy et al., 2017, p. 775).
To summarize the central findings of the economic voting literature and to contribute to the debate about pocketbook versus sociotropic measures, I analyze 100 economic voting estimates published in eight top-ranked journals. This paper confirms that voters’ perceptions of economic conditions affect their preferences for the incumbent. Importantly, I show that perceptions of general economic conditions in the past (i.e., sociotropic-retrospective measures) have strong predictive power over voters’ voting decisions relative to other measures of economic perceptions. I do not find a significant publication bias in the metadata.
Methodological Debates
As “our understanding of economic voting depends crucially on the quality of available data” (Healy et al., 2017, p. 772), competing theoretical arguments in the study of individual-level economic voting partly stem from binary methodological debates, namely, between retrospective (the past) and prospective (the future) judgments; and between pocketbook (personal) and sociotropic (national) evaluations. Singer and Carlin (2013), nevertheless, provide evidence that both sociotropic and retrospective approaches are contextually dependent on prosperity while retrospective and prospective judgments temporally rely upon electoral cycles.[2] Thus, let’s trace back the principal premises of this debate and trajectory of this scholarship.
In his pioneering work on the retrospective thesis, Fiorina (1978, 1981) suggests that individual micro-level assessment of economic conditions explains support for the incumbent president by assessing voters’ past economic conditions. Subsequent authors (e.g., Conover & Feldman, 1986; Healy et al., 2017; Mutz & Mondak, 1997) then followed Fiorina’s basic question of the retrospective voting model. Meanwhile, in line with Kuklinski & West (1981), other works refer to the bankers’ analogy when voters use prospective judgment for their political decision in the election (Alt et al., 2016; MacKuen et al., 1992).[3]
In this respect, we might expect that both past economic evaluations and future predictions are dependent on the electoral cycle, given the fact that most citizens are poorly informed and unsophisticated (Barabas et al., 2014; Bullock et al., 2013; Bullock & Lenz, 2019; Converse, 1964/2006; Lane, 1962). During an electoral cycle, short-term evaluations (say, the last six-month period) might generate a so-called myopic judgment (Achen & Bartels, 2017) for the retrospective question but yields benefit for the prospective measure. In contrast, long-term evaluations (e.g., the last four-year period) situate a better retrospective study than prospective research. In this regard, both retrospective and prospective judgments might hypothetically generate indifferent predictive power for the mechanism of electoral accountability (i.e., incumbent’s electoral gain).
In the other area of debate, Fiorina’s (1978) survey has been one of the starting points of the pocketbook approach in order to complement the aggregate level studies conducted by Kramer (1971) and Tufte (1975). Some scholars follow Fiorina’s path.[4] Kuklinski and West argue that “economic voting implies a relationship between voters’ expected financial condition and their vote” (Kuklinski & West, 1981, p. 442). Conover and Feldman’s psychological assessment also supports the pocketbook measure, contending that “emotional reactions to personal economic condition influence political evaluations [and] personal well-being is important to understanding how people judge presidential and governmental performance” (Conover & Feldman, 1986, p. 75).
Meanwhile, the sociotropic thesis suggests that citizens evaluate national economic conditions relative to their financial situation when evaluating the incumbent or determining their vote choice (see Kinder & Kiewiet, 1981, p. 132).[5] As a pioneering work in this camp, Kinder and Kiewet (1979) only find two significant results across 11 surveys from 1956 to 1972; and five significant results from six surveys measuring sociotropic voting in 1962-1976. Mutz and Mondak’s (1997) group-level perceptions also basically support a sociotropic voting pattern, as the perceptions rely on collective evaluation and judgment. Others contend that “in the battle between the familiar pocketbook and sociotropic measures, now taken to the aggregate level, sociotropic wins: a president achieves greater popularity by having people think the economy is booming” (MacKuen et al., 1992, p. 602; see also, Klašnja et al., 2016; Lewis-Beck & Ratto, 2013).
Though there is a debate regarding whether sociotropic voting implies an altruistic attitude[6] due to the collective evaluation or a self-interested attitude because of the voters’ view of the national economy as a public good (Kinder & Kiewet, 1979; Kinder & Kiewiet, 1981; Kramer, 1983), proponents of the sociotropic approach argue that voters are not necessarily well informed and sophisticated since they simply “form impressions of how the economy performing […]” (Kinder & Kiewiet, 1981, p. 156). At this point, linking national or general economic conditions approximates the incumbent performance (Dassonneville & Lewis-Beck, 2014; Singer, 2011, 2013). This mechanism might drive us to expect that sociotropic perceptions have a stronger power to predict incumbent reelection than retrospective evaluation.
Correspondingly, debate of how to best reveal economic voting at individual-level studies has not been systematically examined. As the proponents of the competing measures evenly provide their justifying arguments, we need an empirical examination to observe whether one measure has a stronger predictive power on voting decision than the other. A meta-analysis is a one way to systematically quantify this accumulation of knowledge. This approach provides objective measures to assess the studies, rather than subjecting reasoning prevalent in the literature review (Ahmadov, 2014; Hunter et al., 1982). The following section describes the strategies employed to develop the metadata and analyses.
Data and Methods
Papers included in the meta-analysis are published in top-ranked peer-reviewed journals that commonly publish research on voting behavior. I use the top ten journals in the SCImago Journal Rank (SJR) and Google Scholar (GS) rankings. The use of SJR and GS as an entry procedure for journal selection provides a justifiable method to seek relevant articles in terms of publication time-span, scholarship engagement, and influence. Though it is not necessary that the analysis should address more or less than ten journals, the number of the selected journals is assumed to capture the journals that publish individual-level studies on economic voting over several decades. In SJR, I draw from the “Political Science and International Relations” category; the reported h-index captures the whole period of journal publication. In GS, the rankings come from the “Political Science” category, but the reported h-index only captures the period 2017-2021. As a result, the two rankings reveal different journals (see Table A1 in Appendix A). I only included studies that primarily investigate economic voting. Accordingly, I employed keywords strongly associated with this scholarship, including “economic voting,” “retrospective voting,” “sociotropic,” “pocketbook,” and unigrams of these phrases found in titles, abstracts, or keywords.
I found that only eight of the selected journals published relevant research, namely, American Journal of Political Science (AJPS), American Political Science Review (APSR), British Journal of Political Science (BJPS), The Journal of Politics (JOP), Comparative Political Studies (CPS), European Journal of Political Research (EJPR), Annual Review of Political Science (ARPS), and Political Psychology. I found 155 articles that broadly investigate economic rationales for voting decisions (the details are in Table A2 in Appendix A).
I then selected the papers that employed individual-level data, including any papers that employed both micro and macro-level data. Limiting the corpus to papers that explicitly measure economic perceptions, evaluations, or judgments, I ultimately found 41 eligible articles. In doing so, the selection procedure neglected distribution of geographical areas of economic voting studies covered in these articles. Yet, though economic voting theory stems from voting experiences in the United States, there is no criterion that omits studies from outside of the United States. Thus, several datasets covered in the selected articles come from developing democracies outside the United States, including some countries in Eastern Europe and Asia (see Appendix B). However, I acknowledge that an inability of the selection procedure to take regional variation of the meta-data into account is a limitation of this study.
In these studies, the estimates may come from a dichotomous measure of economic perceptions (bad or good) or an ordinal measure. The dependent variable may also be generated by a binary variable, i.e., whether the respondents said they would vote for the incumbent or not, or nominal variables, e.g., names of multiple candidates, found mostly in non-U.S. contexts (see, for example, Blais et al., 2004). Given the nature of the dependent variables, most authors employ logit or probit estimators. As normalizing the coefficients and creating a variance for each study is only feasible when the sample size and standard errors are provided (Fleiss & Berlin, 2019; Hunter et al., 1982), I exclude coefficients without reported standard errors. Unfortunately, some pioneering works (Fiorina, 1978; Kinder & Kiewet, 1979) do not report standard errors. These selection procedures returned 100 coefficients from 32 articles. Table A2 in Appendix A depicts the selection process.
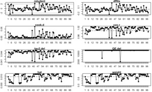
After exploring the descriptive overview of the metadata to seek which measures are applied more than the others, my next analytical strategy was a heterogeneity test to investigate the level of heterogeneity, i.e., whether the estimates across studies tend to diverge or converge. I employed an I-squared and tau-squared restricted maximum likelihood estimator to test for heterogeneity (Borenstein et al., 2010). Next, I estimated the effect size across measures of economic perceptions. As the true estimates of the metadata may differ from one study to another due to scale heterogeneity of the variables of interest, I applied a random-effects model. These models reveal the overall estimate from all studies included in the meta-analysis. Lastly, I employed diagnostic measures to look for influential studies and publication biases (Egger et al., 1997).
Results
Looking at the measures of performance employed in the studies, Table 1 shows that sociotropic evaluations (59) were somewhat more common than pocketbook evaluations (41); studies also more commonly used retrospective (69) rather than prospective (31) judgments. The descriptive analysis showed more than three-quarters of coefficients on sociotropic measures were statistically significant. In contrast, only 40% of pocketbook measures returned statistically significant estimates. Studies that used sociotropic evaluation with retrospective judgments were particularly likely to return statistically significant coefficients (86.49%).
As reported in the last two columns of Table 1, the heterogeneity test statistics from all measures are similar, except for Pocketbook-Prospective—I did not find significant heterogeneity across the estimates of this measure. As higher and the statistics mean more heterogenous estimates in each measure, the results imply that findings of economic voting studies diverge. The heterogenous findings are not surprising. However, the extent to which the economic voting studies diverge was relatively high across measures. A closer look nevertheless suggests that the coefficients of the sociotropic-retrospective measure of 99.64% and of .066) diverge more but are also the most likely to be significant relative to those of the other measures.
As shown in Figure 1, overall, I found a positive relationship between economic perceptions and support for incumbent reelection across 100 measures. The average effect size was .20 (log odds ratio) which means that, all else equal, a positive economic perception affects the likelihood of voting for the incumbent at 1.2 odds. Details of the metadata and results are in Table B1 and Table C1 in the Appendix.
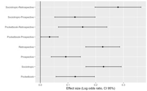
Importantly, the meta-analysis uncovered that the estimated effect size for sociotropic-retrospective measures (log odds ratio of 0.30), displayed in Figure 2 was relatively higher (about twice higher) than that for sociotropic-prospective measures (log odds ratio of .16) and pocketbook-retrospective measures (log odds ratio of .15), though their confidence intervals overlap one another (for statistical details, see Table C1 in Appendix C). The pocketbook-prospective measure, nevertheless, is recorded to have a very low predictive power (log odds ratio of .03) such that future studies may need to avoid or refine the questions used to obtain pocketbook-prospective measures.
Most of the estimated coefficients, shown also in Figure 1, are positive, with many of them statistically significant; when negative coefficients—a result that does not meet theoretical expectations—are estimated, most of them are indistinguishable from zero. While the largest estimates are .99 (Mutz & Mondak, 1997) and .89 (Blais et al., 2004) in the sociotropic and retrospective models respectively, the smallest estimates are -0.53 (sociotropic model) and -0.68 (pocketbook model), which both come from Blais et al.'s studies (2004). In the sociotropic model, I only observed two negative coefficients found in prospective perceptions in the U.S. 1998 data (Blais et al., 2004) and also prospective judgment in the Poland study (Duch, 2001). In the pocketbook model, we have five negative estimates from studies contained in three articles (Blais et al., 2004; Duch, 2001; Mughan & Lacy, 2002), where only one of them stems from a prospective question. These patterns may suggest that prospective judgment about national or general economic conditions is a less convincing measure.
We may suspect that some variation in effect size is due to the temporal or country context. I examined studies that measured both sociotropic and pocketbook perceptions in the same contexts (countries or periods of the study), excluding studies that only report a single measure (e.g., C. D. Anderson, 2006; Lewis-Beck et al., 2008; Ward, 2020). In this subset of studies, as shown in Appendix C, the estimated effect size of the sociotropic measure was still higher than that of the pocketbook measure, although the average effect size for the sociotropic estimate falls by 0.26 log-odds points, whereas the pocketbook estimate falls by only 0.16 points. These estimates reinforce the initial meta-analysis results that sociotropic - retrospective measures have stronger predictive power than the other measures. Publication bias and influential study diagnostics in Appendix C also show that the results are robust.
Discussion
Two logics might explain the findings presented above. First, sociotropic perceptions might conceptually have a more direct link to assessing incumbent performance. The measures might more tangibly capture the collective consciousness when compared to assessments of personal or household economic performance. This claim might be validated through larger batteries of psychological measures that explore voters’ feelings or emotions about economic performance. Moreover, the pocketbook measure complicates whether we should address individual’s or household’s economic conditions—such as “your financial situation” in Fiorina’s (1978) pioneering survey and “family’s financial situation” in Mutz and Mondak’s (1997) South Bend study—while we do not find such an enigmatic case in sociotropic one.
Second, retrospective evaluations of economic conditions or performance are arguably based on factual judgments, and such experiential assessments better predict incumbent survival. Meanwhile, prospective measures are necessarily more perceptual but less factual, which in turn might lead such measures to be less predictive than the retrospective ones. While being a banker-like voter does not necessarily require a high level of knowledge and sophistication to calculate or to predict the future, as contended by MacKuen et al. (1992), experiential evaluation strongly promoted under a retrospective approach obviously necessitates less effort than a predictive attempt.
Furthermore, though the current article meta-analyzes economic voting studies at the micro level, mostly based on survey research, the finding touches a link to studies exploiting macro-economic data. Given the result that sociotropic-retrospective measure is superior relative to the other measures on individual-level studies, such a measure might better mitigate what Dassonneville and Lewis-Beck (2014) called a micrological fallacy. Sociotropic measures force individuals to assess national economic conditions while pocketbook question asks respondents to merely evaluate their household economic condition. Though this article does not imply that it resolves the debate between ecological and macrological fallacies—traced back to Fiorina’s individual-level survey data and Kramer’s macro-economic data since the onset of economic voting studies in the 1970s—the conclusion on the preferred sociotropic measure might slightly reconcile the two camps of economic voting studies, i.e., we should pay more attention to national (or general) economic conditions.
We might need to be cautious, however, with the timeframe used in retrospective measure since existing studies for evaluating economic conditions range between “the last 6 months” and “the last few years.” Though this paper does not meta-analyze the timeframe as these details are mostly not reported in the selected articles, variation in time span potentially creates variation in effect sizes (Achen & Bartels, 2017, Chapters 6–7). For instance, while six-month evaluations seem to be better from the point of view of voters’ capacity, they neglect the majority of the incumbent’s administration. Also, the “last few years” measure might better approximate a comprehensive evaluation, but voters’ capacity might not be suitable for this. This is also a useful area for future research.
Conclusion
Given the results and discussion, I conclude that economic voting studies are better equipped by a measure that approximates a direct nexus between voter’s national economic perception and incumbent survival formulated in sociotropic evaluation, and an experiential perception exemplified by retrospective judgment. Furthermore, the predictive power of a sociotropic measure revealed by the meta-analysis at some points reconciles the theoretical debate between individual-level and macro-economic approaches. Further methodological examinations, nevertheless, need to be attempted in individual-level studies in response to critiques on economic voting theories, e.g., potential myopic judgment and violated economic evaluation by random shocks.
Acknowledgment
I am indebted to Matt Winters for his feedback at various stages of the manuscript. I also want to express my gratitude to my beloved wife, Lutviah, for her contributive assistance. I thank the three anonymous reviewers for their constructive feedback.

.png)

_and_pocketbook_(right-hand_s.png)



